在办公中经常会用到excel中的函数来计算方差,如果不懂的朋友不妨一起来学习研究一番。接下来是学习啦小编为大家带来的excel用函数计算方差的方法,供大家参考。
excel用函数计算方差的方法:
计算方差函数使用步骤1:我现在想用var函数求单元格区域A1:A10这一列数据的方差
在单元格A13输入函数:=VAR(A1:A10)
见下图
然后回车

计算方差函数使用步骤2:这样用var函数求得的单元格区域A1:A10这一列数据的方差就放在了单元格A13了
见下图

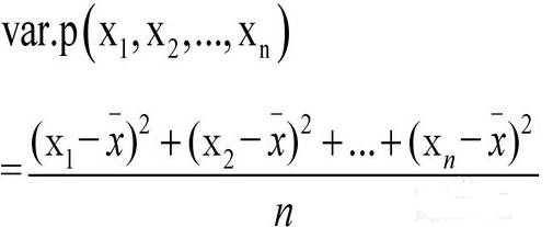
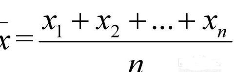
计算方差函数使用步骤3:函数 VAR.P计算基于整个样本总体的方差
公式意义见下图:
注意到下图一中的根号内的分式分母为n


计算方差函数使用步骤4:我现在想用var.p函数求单元格区域A1:A10这一列数据的方差
在单元格B13输入函数:=VAR.P(A1:A10)
见下图
然后回车

计算方差函数使用步骤5:这样用var.p函数求得的单元格区域A1:A10这一列数据的标准方差就放在了单元格B13了
见下图

1.Excel2013中如何计算方差和均方差
2.如何用excel计算方差的方法
3.如何用excel计算标准差的方法
4.如何计算Excel中的标准差
5.excel方差怎么算
6.excel 标准差公式的使用方法
7.excel中VAR函数的使用方法
思考:
思考1:excel中哪个函数是求方差?
提示:估算方差:=DVAR(区域,对象,条件区域) 真实方差:=DVARP(区域,对象,条件区域)
思考2:Excel中的求方差到底用哪个函数?
提示:一、工具:excel 二、操作步骤: 1.在excel里面对于计算标准差计算函数,只需要如何进行运用这个函数进行操作就行 2.这边以计算一些成绩数据的方差作为演示 3.首先一共有42个数据样本,点击需要作为演示的单元格 4.在单元格中上地址栏输入=STDEV...
思考3:Excel2007中如何用函数计算方差
提示:方差的手工运算相当复杂,为了快速获得结果用户可以使用Excel集成的VAR方差计算函数。本例以A1:B8的数据为例,计算两组果汁样品含糖量的方差。 (1)单击“公式”选项卡,在“函数库”区域单击“插入函数”按钮,打开“插入函数”对话框。 (2)在“或类别选...
思考4:怎样在Excel中计算数据的标准差和方差
提示:标准差用如下函数 =STDEV(A2:A30) 方差函数如下: 1、VAR或VARP函数: =VAR(A2:A35) =VARP(A2:A35) 2、SUBTOTAL函数: =SUBTOTAL(10,A2:A35) 或 =SUBTOTAL(110,A2:A35)
思考5:怎么在Excel里面算方差啊
提示:调用函数 STDEV 估算样本的标准偏差。标准偏差反映相对于平均值 (mean) 的离散程度。 语法 STDEV(number1,number2,...) Number1,number2,... 为对应于总体样本的 1 到 30 个参数。也可以不使用这种用逗号分隔参数的形式,而用单个数组或对数组的...


